Μυϊκές κράμπες: Από Αφυδάτωση και εξάντληση ηλεκτρολυτών ή μήπως από μυϊκή βλάβη;
Runbeat Team 16:03 10-01-2023
Οι μυϊκές κράμπες που σχετίζονται με την άσκηση (EAMC) ορίζονται ως «επώδυνες, σπασμωδικές και ακούσιες συσπάσεις του σκελετικού μυ κατά τη διάρκεια ή αμέσως μετά τη σωματική άσκηση». Οι μυϊκές κράμπες είναι ένας από τους πιο σημαντικούς περιοριστικούς παράγοντες για επιδόσεις σε αγώνες μεγάλων αποστάσεων και μια από τις κύριες αιτίες για εγκατάλειψη του αθλητή. Προηγούμενες μελέτες έχουν αναφέρει εμφάνιση μυϊκών κραμπών( EAMC) έως και 14% κατά τη διάρκεια ενός υπερμαραθωνίου 166 χιλιομέτρων, έως και 18% κατά τη διάρκεια ενός μαραθωνίου δρόμου, έως 23% κατά τη διάρκεια ένα αγώνα τριάθλου και 41% κατά τη διάρκεια ενός υπερμαραθωνίου 56 χιλιομέτρων.
Οι μυϊκές κράμπες που σχετίζονται με την άσκηση έχουν μια τυπική κλινική εικόνα που προκύπτει από έντονη και παρατεταμένη σωματική άσκηση, και συνήθως εμφανίζονται σε μύες που υπόκεινται σε υψηλή συστολή-ζήτηση κατά τη διάρκεια της άσκησης .Η πρώτη και πιο δημοφιλής υπόθεση για την αιτιολογία του EAMC ήταν η αφυδάτωση και η θεωρία εξάντλησης ηλεκτρολυτών .Στην πραγματικότητα, οι περισσότεροι δρομείς εξακολουθούν να πιστεύουν ότι η πρόσληψη νατρίου κατά τη διάρκεια της άσκησης αντοχής αποτρέπει την εμφάνιση μυϊκών κράμπες . Ωστόσο, τα νεότερα επιστημονικά στοιχεία δεν συνάδουν με αυτή τη θεωρία και δεν προσφέρουν παθοφυσιολογικούς μηχανισμούς με τους οποίους θα μπορούσε να συμβεί αυτό .
Πιο πρόσφατες μελέτες υποδεικνύουν ότι η προέλευση αυτών των αλλοιώσεων στον νευρομυϊκό έλεγχο προκαλούνται κυρίως από τη δράση της υπερβολικής μυϊκής κόπωσης που συνδέεται με την έντονη σωματική άσκηση. Καθίσταται πλέον ο κύριος παράγοντας που σχετίζεται με την εμφάνιση των μυϊκών κραμπών. Μέχρι σήμερα, οι μελέτες παρατήρησης έχουν αποτύχει να παρουσιάσουν αξιοσημείωτες διαφορές στην αφυδάτωση (εκτιμάται ως μάζα σώματος απώλεια [BM] ή μέσω ειδικού βάρους ούρων [USG]) ή συγκεντρώσεων ηλεκτρολυτών ορού μετά τον αγώνα μεταξύ αθλητών που εμφανίζουν EAMC και εκείνων που δεν εμφανίζουν EAMC. Ελεγχόμενες εργαστηριακές μελέτες, με χρήση ενός μοντέλου κράμπας ηλεκτρικής διέγερσης, επίσης απέτυχαν να συνδέσουν την αφυδάτωση με τη συχνότητα κατωφλιού μυϊκής κράμπας .Αντίθετα, σε μια πρόσφατη μελέτη των Hoffman and Stuempfle σημαντικά υψηλότερες τιμές μυϊκής βλάβης βρέθηκαν σε δρομείς που είχαν υποστεί EAMC. Οι συγγραφείς τότε ερμηνεύουν τα αποτελέσματα ως επιβεβαίωση ότι αυτοί οι δρομείς είχαν υποβάλει τους μυς τους σε υπερβολική ζήτηση ανάλογα με την τρέχουσα φυσική τους κατάσταση δημιουργώντας έτσι μια αλλαγή στον νευρομυϊκό έλεγχο που τελικά προκάλεσε μυϊκές κράμπες.
Η μελέτη
Με αυτά τα δεδομένα οι μελετητές του Πανεπιστημίου της Βαλένθια είχαν ως κύριο σκοπό της μελέτης τους να εξακριβώσουν εάν οι δρομείς που υπέφεραν από EAMC εμφάνισαν διαφορές σε ηλεκτρολύτες ορού, δείκτες αφυδάτωσης και ενζυμικούς βιοδείκτες μυϊκής βλάβης, σε σύγκριση με δρομείς που δεν είχαν εμπειρία EAMC.
Επιπλέον, για να αξιολογηθεί αν αυτοί οι αθλητές βιώνοντας μυϊκές κράμπες είχαν υιοθετήσει ένα διαφορετικό προπονητικο μοντέλο ή είχαν μια διαφορετική στρατηγική κατά τη διάρκεια του αγώνα, συμπεριλήφθηκαν στην έρευνα διάφορες μεταβλητές που σχετίζονται με την προπόνηση(δηλαδή, προπόνηση δύναμης, προηγούμενη εμπειρία τρεξίματος, εβδομαδιαίος όγκος τρεξίματος, κ.λπ.), σε σύγκριση με εκείνους που δεν είχαν εμπειρία EAMC.
Είναι ενδιαφέρον ότι, από όσο γνωρίζουμε, καμία προηγούμενη μελέτη δεν είχε προβεί σε σύγκριση με την αντικειμενικά μετρούμενη σχετική ένταση και το προπονητικό υπόβαθρο των αθλητών.
Στόχος λοιπόν της μελέτης ήταν να συγκρίνει μεταβλητές αφυδάτωσης, ηλεκτρολύτες ορού και δείκτες ορού μυϊκής βλάβης μεταξύ δρομέων που υπέφεραν από μυϊκές κράμπες (EAMC) κατά τη διάρκεια Μαραθωνίου και δρομείς που δεν υπέστησαν EAMC .
Ωστόσο οι ερευνητές διεύρυναν ενδιαφέρον τους καθώς μαζί με τις παραπάνω μεταβλητές ανέλυσαν τον ρυθμό του αγώνα και το προπονητικό υπόβαθρο κάθε αθλητή.
Στη μελέτη συμμετείχαν 98 μαραθωνοδρόμοι 85 άνδρες και 13 γυναίκες οι οποίο αγωνίστηκαν το 2016 στο Μαραθώνιο της Βαλένθια στην Ισπανία. Η μέση θερμοκρασία και σχετική υγρασία κατά τη διάρκεια του αγώνα ήταν 19°C και 61%, αντίστοιχα. Σταθμοί υδροδοσίας υπήρχαν κάθε 5 χλμ.
Η μέση ηλικία τους ήταν σχεδόν 39 ετών όπως αποτυπώνεται και στον σχετικό πίνακα στον οποίο διαμορφώθηκαν και οι μέσες τιμές του δείγματος για δείκτη μάζας σώματος, VO2 max, μέγιστη ταχύτητα στη VO2max κ.α. Ενώ κατεγράφη η δρομική τους ηλικία σε συνδυασμό με τις ημέρες και το χρόνο προπόνησης είτε στο τρέξιμο είτε και στη μυϊκή ενδυνάμωση.

Πριν και μετά τον αγώνα, συλλέχθηκαν δείγματα αίματος και ούρων και μετρήθηκε η μάζα σώματος (BM). 88 από τους υπό μελέτη δρομείς τερμάτισαν τον μαραθώνιο και 20 από αυτούς ανέπτυξαν EAMC (24%) κατά τη διάρκεια ή αμέσως μετά τον αγώνα.
Αλλαγή μάζας σώματος, ειδικό βάρος ούρων μετά τον αγώνα και συγκεντρώσεις νατρίου και καλίου στον ορό δεν διέφεραν μεταξύ εκείνων που παρουσίασαν κράμπες και εκείνων που τερμάτισαν «αλώβητοι».
Αντίθετα, οι δρομείς που υπέστησαν EAMC παρουσίασαν σημαντικά υψηλότερα επίπεδα κρεατινική κινάση.
O δείκτης CPK δείχνει τις μυϊκές κράμπες
Η κινάση ή φωσφοκινάση της κρεατίνης (creatine phosphokinase, CPK) είναι ένα ένζυμο που εντοπίζεται κυρίως στον καρδιακό μυϊκό ιστό και στους σκελετικούς μύες, και αντανακλά τον καταβολισμό των ιστών αυτών ως αποτέλεσμα φθοράς ή τραυματισμού. Η δράση της είναι περιορισμένη στον εγκέφαλο, στο γαστρεντερικό και ουροποιητικό σύστημα.
Η κρεατινική κινάση αποτελεί κεντρικό ρυθμιστή διατήρησης της κυτταρικής ομοιόστασης και εντοπίζεται στο κυτταρόπλασμα και τα μιτοχόνδρια των κυττάρων των προαναφερθέντων ιστών. Καταλύει με τη βοήθεια ενέργειας (ATP) τη βιοχημική αντίδραση μετατροπής της κρεατίνης (creatine) σε φωσφοκρεατίνη (phosphocreatine, PCr) και διφωσφορική αδενοσίνη (ADP), διοχετεύοντας ενέργεια στους γραμμωτούς μύες (σκελετικοί μύες και μυοκάρδιο) ή στον εγκέφαλο, η οποία απαιτείται περαιτέρω της καύσης των προσλαμβανόμενων υδατανθράκων, πρωτεϊνών και λιπών διά της τροφής, ακριβώς επειδή υπάρχει εκτεταμένη φθορά στους εν λόγω ιστούς.
Η εξέταση της κρεατινικής φωσφοκινάσης (CPK) είναι απαραίτητη για τη διερεύνηση οξείας ή χρόνιας παθολογικής φθοράς στους γραμμωτούς μύες που παράγουν έργο (οι σκελετικοί μύες παρέχουν δύναμη υποστηρικτική της αναπνοής, της ορθής στάσης και της κίνησης του σώματος, ο καρδιακός μυς λειτουργεί ως αντλία διοχετεύοντας αίμα στο σώμα).
Στη μελέτη όσοι εκδήλωσαν κράμπες παρουσίασαν επίπεδα 464,17 +/- 220,47 έναντι 383,04 +/- 253,41 UI/L εκείνων που δεν διαμαρτυρήθηκαν για κράμπες. Ενώ η γαλακτική αφυδρογονάση (LDH) διαμορφώθηκε σε 362,27 +/- 72,10 έναντι 307,87 +/- 52,42 UI/L.
Εικοσιτέσσερις ώρες μετά τον αγώνα επίσης οι τιμές και των δύο βιοδεικτών ήταν υψηλότερες μεταξύ των δυο ομάδων.

Ένα από τα εντυπωσιακότερα ευρήματα ήταν η διαφορά στο ποσοστό των δρομέων που συμπεριέλαβαν την προετοιμασία δύναμης στην προπόνησή τους κατα τη διάρκεια της προετοιμασίας τους για τον αγώνα .Σχεδόν 1 στους 2 Μαραθωνοδρόμους που είχε συμπεριλάβει μυϊκή ενδυνάμωση δεν εκδήλωσε κράμπες ενώ απο εκείνους που εκδήλωσαν κράμπες μόλις 1 στους 4 είχε βρεθεί στο γυμναστήριο.(EAMC: 25%, non-EAMC: 47,6%)
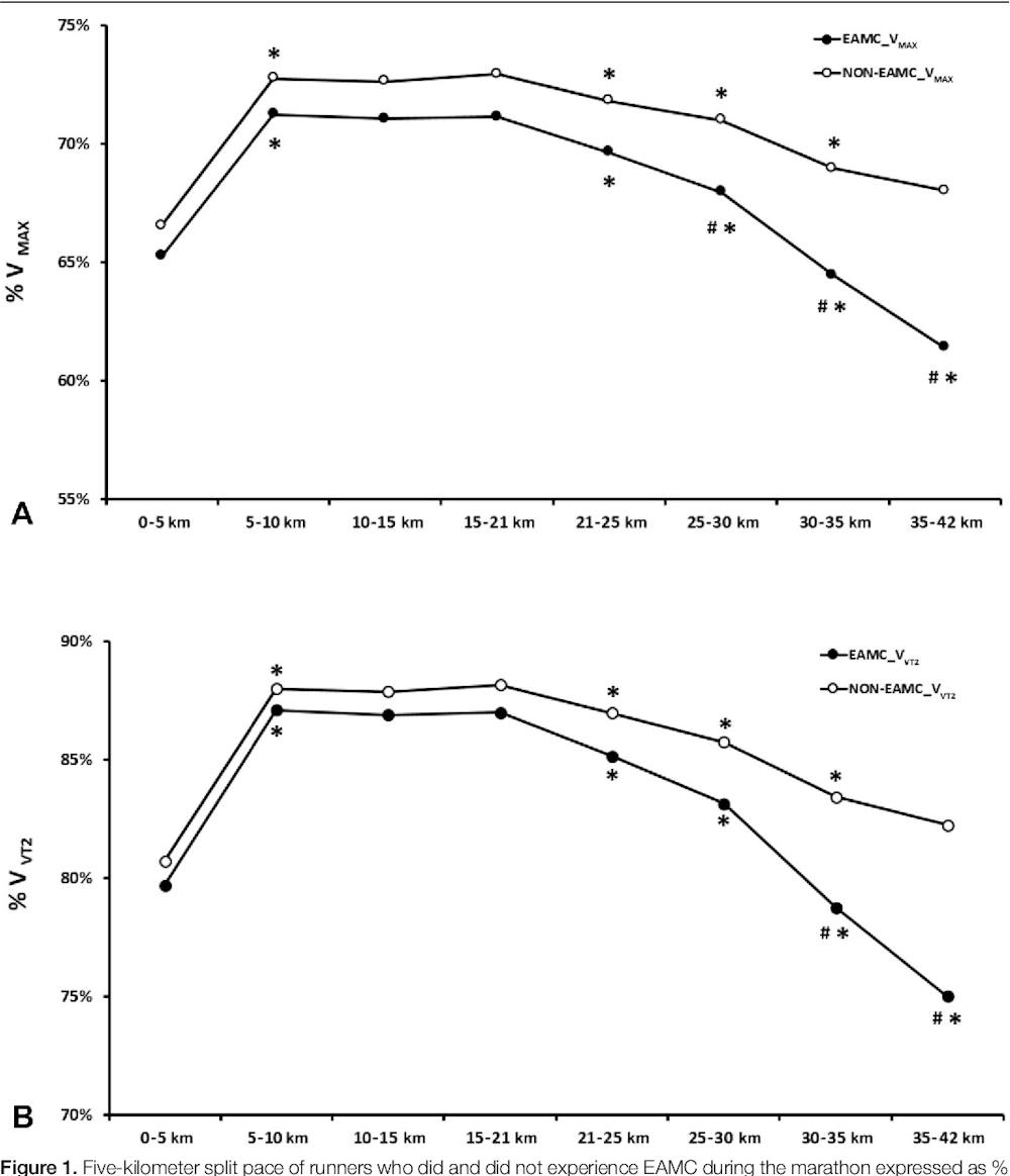
Τελικά, σχετική ταχύτητα μόνο μεταξύ crampers και noncrampers διέφερε από το 25ο χλμ. και μετά (p , 0,05). Επομένως, οι δρομείς που υπέστησαν EAMC δεν εμφάνισαν μεγαλύτερο βαθμό αφυδάτωσης και εξάντληση ηλεκτρολυτών μετά τον μαραθώνιο, αλλά παρουσίασαν σημαντικά υψηλότερες συγκεντρώσεις βιοδεικτών μυϊκής βλάβης.

Συμπέρασμα: Οι Ισπανοί μελετητές με τα παραπάνω ευρήματα κατέληξαν ότι οι δρομείς που βίωσαν μυϊκές κράμπες(EAMC) παρουσίασαν υψηλότερες συγκεντρώσεις βιοδεικτών μυϊκής βλάβης χωρίς διαφορές σε ηλεκτρολύτες ορού και δείκτες αφυδάτωσης. Επιπλέον όσοι εκδήλωσαν κράμπες διαπιστώθηκε οτι έτρεχαν σε υψηλότερη σχετική ένταση κατά το πρώτο ήμισυ του αγώνα και δεν πραγματοποίησαν προπονήσεις ενδυνάμωσης κατά τη διάρκεια της προετοιμασίας τους για τον Μαραθώνιο.
Η σύνοψη των επιστημονικών δεδομένων
Το ποσοστό των κραμπών στο δείγμα αυτής της μελέτης (24%) ήταν κάπως υψηλότερο από ό,τι είχε αναφερθεί προηγουμένως για το Μαραθώνιο (18%) αλλά πολύ παρόμοια με τα δεδομένα που συλλέχθηκαν κατά τη διάρκεια της απόστασης τριάθλου και υπερμαραθώνιο 100 χλμ (23%). Σχετικά με την αιτιολογία των EAMC , τα αποτελέσματά δείχνουν ότι οι δρομείς που υπέφεραν από μυϊκές κράμπες κατά τη διάρκεια ή αμέσως μετά τον μαραθώνιο δεν παρουσιάζουν μεγαλύτερη απώλεια BM ή χαμηλότερη τιμή USG μετά τον αγώνα. Ομοίως, δεν εμφάνισαν χαμηλότερο ορό (Νατρίου ή Καλίου) μετά τον αγώνα, Επομένως, η EAMC φαίνεται να μην είναι σχετίζεται με αφυδάτωση ή εξάντληση ηλεκτρολυτών. Αυτά τα αποτελέσματα επιβεβαιώνουν προηγούμενα ευρήματα από μελέτες που πραγματοποιήθηκαν τόσο σε αγωνίσματα μεγάλων αποστάσεων.
Από την άλλη πλευρά, η μεγαλύτερη συγκέντρωση μυϊκής βλάβης (LDH και CK) που παρατηρήθηκε σε εκείνου που υπέστησαν κράμπες 24 ώρες και αμέσως μετά τον αγώνα προσθέτει περαιτέρω στοιχεία στη «θεωρία νευρομυϊκού ελέγχου» της EAMC
Λαμβάνοντας υπόψη αυτά τα αποτελέσματα, φαίνεται ότι η ομάδα των δρομέων που υπέστη κράμπες κατά τη διάρκεια του μαραθωνίου υπέβαλαν τους μύες τους σε μια υπερβολική ζήτηση έντασης σε σχέση με το πραγματικό επίπεδο φυσικής κατάστασης τους, που οδηγεί στο συμπέρασμα ότι το είδος της προπόνησης που αναπτύχθηκε κατά την προετοιμασία για αγώνες μεγάλων αποστάσεων έχει σχέση με την εμφάνιση του EAMC.
Σχετικά με αυτή την υπόθεση αυτή η μελέτη ερεύνησε εάν οι μεταβλητές που σχετίζονται με την προπόνηση διαφέρουν μεταξύ των crampers και των noncrampers. Με ενδιαφέρον κατεδείχθη ότι ένας τριαθλητής με παράπονα για επαναλαμβανόμενες κράμπες μπόρεσε να ολοκληρώσει 3 αγώνες τριάθλου χωρίς κράμπες μετά την ολοκλήρωση μιας 8μηνης περιόδου ενδυνάμωσης και πρόγραμμα νευρομυϊκής επανεκπαίδευσης.
Σε κάθε περίπτωση όλα τα παραπάνω συμπεράσματα δεν ακυρώνουν την καθοριστικής σημασίας αξία της πρόσληψης ηλεκτρολυτών που εξακολουθεί να είναι κρίσιμη, ειδικά στα αγωνίσματα μεγάλων αποστάσεων.















